Advertisement

Si Unit Of Permeability Of Free Space

Si Unit Of Permeability Of Free Space - Here are some of the images for Si Unit Of Permeability Of Free Space that we found in our website feer.edu.pl database, related for Lina Esco Free The Nipple, Audio Cutter Mod Apk, Placerville Golf Courses, Gw Smhs Course Catalog, Printable Super Hero Masks, Dewa 19 Free Download Mp3, Capcut Mod Apk Latest Version, Bluey Coloring Sheet Printable, Hickam Par 3 Golf Course, Dinosaur Zoo Mod Apk,

The SI unit of permeability of free space is (a) weber/ampere

The SI unit of permeability of free space is (a) weber/ampere

Magnetic Permeability Converter FreeUnitConverterTool

Magnetic Permeability Converter FreeUnitConverterTool

Solved The permeability of free space (in SI units) 4 phi Chegg com

Solved The permeability of free space (in SI units) 4 phi Chegg com

(Get Answer) The Permeability Of Free Space (In SI Units) 4 Phi Times

(Get Answer) The Permeability Of Free Space (In SI Units) 4 Phi Times

The SI unit of relative magnetic permeability is (1) TmA−1 (2) Am2 (3) Tm

The SI unit of relative magnetic permeability is (1) TmA−1 (2) Am2 (3) Tm

Permeability

Permeability

Solved Question 17 The SI unit for the permeability Chegg com

Solved Question 17 The SI unit for the permeability Chegg com

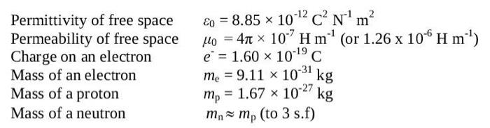
Solved Permittivity of free space Permeability of free space Chegg com

Solved Permittivity of free space Permeability of free space Chegg com

PPT PERMEABILITY PowerPoint Presentation free download ID:1813582

PPT PERMEABILITY PowerPoint Presentation free download ID:1813582

To find Permeability of free space Here n #39 = Number of oscillations

To find Permeability of free space Here n #39 = Number of oscillations